
P12
<준비학습>
1. 다음식을 간단히 하시오.


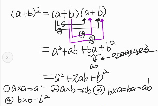
2. 다음 식을 전개하여 간단히 하시오.
(1)(a+2b)(3c-4d) =

(2)

p12: 페이지 다 풀었습니다.- 다음페이지는 다음에 ...
이 바닥은 아주 마음에 들여요 2문제 밖에 없내요.
'수학 레시피' 카테고리의 다른 글
| (주)금성출판사 -P15(3),(4)풀이 (0) | 2020.02.19 |
|---|---|
| (주)금성출판사-고1수학P15 (0) | 2020.02.18 |
| (주)금성출판사-P14 풀이 (0) | 2020.02.17 |
| (주)금성출판사-p13 풀이 (0) | 2020.02.15 |
| 고등학교 수학 (주) 금성출판사 (0) | 2020.02.13 |